Datavault Builder Running on Snowflake’s Snowpark Container Services

In this video we do demonstrate how simple it is to run Datavault Builder on Snowflake Container services. Please be advised that Snowflake container services are as of now a public preview feature. As we haven’t completed regression and security testing on our side this is a outlook how the final service delivery will look […]
Yale University: Revolutionizing Data Management for 75% Savings and Faster Insights

Yale University showcased its Datavault journey at the Data Vault North America User Group in September 2023.
On Links

Petr Beles, 2150 GmbH, https://elementor.2150.ch 2017-02-11 Links representing transactions in Data Vault In this article I’m discussing only links representing transactions. I deliberately exclude links which represent relations (i.e. master data relations = giving context to an object like the link between a city and a commune). A row in a conventional link in Data […]
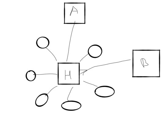
On Multi-Active Satellites in Data Vault

Petr Beles, 2150 GmbH, https://datavault-builder.com2018-11-07 Implementing Multi-Active Satellites as Document Satellites In the Data Vault standard there is a pattern called Multi-Active Satellite. This is also partly used to store Bi-Temporality in the Data Vault. A business key in a hub with a certain granularity is assigned more than one valid entry in the satellite […]
Temporality in the Data Warehouse Part 1 of 4: Definition of the challenge

In the past years, I was confronted with the demand to create a reporting with SCD type 2 dimensions. But since there are usually 3 or more time lines in the data warehouse, I had to clarify again and again what the business requirement actually is. Here I try to sort my thoughts and give […]
Temporality in the Data Warehouse Part 2 of 4: Getting rid of the temporal complexity

About “Temporality” in the Data Vault Getting rid of the temporal complexity As the manufacturer of the Datavault Builder automation software, we are frequently asked how to map the changes over time in our tool and/or in the Data Vault in general. Often in the form of: how can I report SCD Type 2 stuff. […]
Temporality in the Data Warehouse Part 3 of 4: Give me the damn times

Although in many cases it is not necessary to output the timelines in the reports, there are some cases where the output of timelines is important. Examples are: Displaying a customer history (1d) Highlighting subsequently modified data to identify fraud and legitimate corrections (2d) Flexible comparison of different time periods to understand relative changes (3d) […]
Temporality in the Data Warehouse Part 4 of 4: SCD Type 2 Dimensions (and Facts)

Kimball Style dimensions – SCD Type 2 Output If you haven’t read them I recommend reading the first 3 parts first. https://datavault-builder.com/2020/03/03/temporality-data-warehouse-part-1-3-definition-challenge/ https://datavault-builder.com/2020/03/12/temporality-data-warehouse-part-2-3-getting-rid-temporal-complexity/ https://datavault-builder.com/2020/03/23/temporality-data-warehouse-part-3-4-give-me-the-damn-times/ Getting Started After writing a nine-page long story about the topic including history, modeling, and performance consideration I came to the point where I understood that it is too much to […]
Third Normal Form (3NF) and the Data Vault OR How not to be afraid of the Data Vault

From time to time we receive an interesting question from people interested in using the Datavault Builder: Does the Datavault Builder DWH automation tool supports 3NF? The interesting answer is: yes. Though we have actively decided against a 3NF core because we believe that splitting the data into individual functions such as keys (hubs), relationships […]
Do Equi-Joins always matter?

It happens that from time to time I comeacross some statements about how databases work and how they shall be queried. And I like to read those recommendations. Especially if they come with a theoretical explanation. But even more, I like to read those comments if they come with tests that prove what the theory […]